Gittisham Folk Dance Club is run by a committee of members, elected each year at the AGM.
Chairman: Steve Burrow Mob: 07793 124 229
Secretary: Doreen Kociuba
kociuba@hotmail.co.uk
Treasurer: Jill Hewett
gittishamfolkdancetreasurer@gmail.com
Member: Elaine Dibsdall (Catering)
Member: Janet Reynolds
Member: Rosie Shaw
Member: Gill Spence
Our last AGM was held in March 2022.
AGM – to be held at Gittisham on Wednesday, March 27, 2024 during our weekly dance. We are hoping to attract some new committee members [we meet as a committee fairly infrequently so it’s not an overly onerous committee to be on]. We are keen to encourage new ideas and forward thinking in order to future proof our club, as there is always the danger that committees can become stale without new blood, so please think about volunteering. Membership for this year remains at £2.00, but we are proposing a rise to £5 from next January 2025.
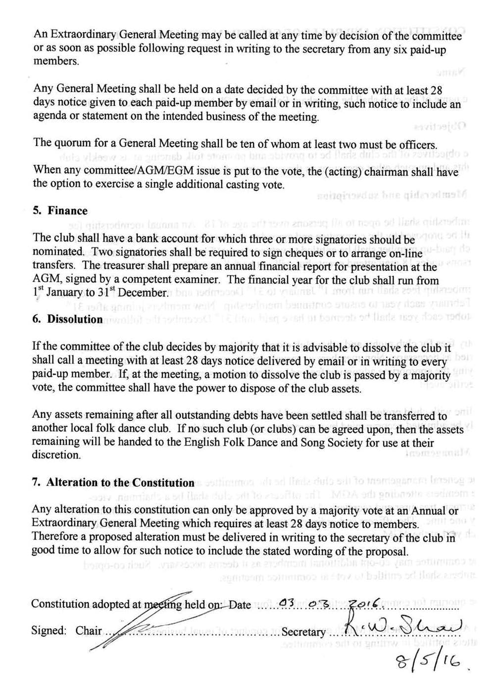
A simple constitution was agreed in March 2016 and shown below. It may be downloaded as a pdf: GFDC Constitution.

